Wealth Redistribution: US vs. non-US

Adjusted for purchasing power, America’s poorest state (Mississippi), has higher average income than France. I don’t think we’re doing too poorly.

1 Like

But would you rather live in France or Mississippi?

Colorado. Preferably somewhere up in the mountains.

1 Like

Higher average income, ok, how are the bottom 50% doing in both France and Mississippi? America is a bad place to be poor imo…

4 Likes

Last I checked France has some mountains.

Was it also adjusted for social welfare distribution?
Does France have an equivalent to Brett Favre?

2 Likes

That depends… Are we… black?

3 Likes

:rofl:

Too many people for my taste, though.

I think I’d rather have more in Mississippi than less in France.

I wouldn’t. At the higher income end, France has more interesting things to spend money on. At the lower end, France has a better social safety net.

There are definitely other places in the US that I’d rather live, but not Mississippi.

2 Likes

I think there are some minorities in France that seem mighty disaffected. Hard to judge which is worse.

Not near the mountains.

Um, RNN?

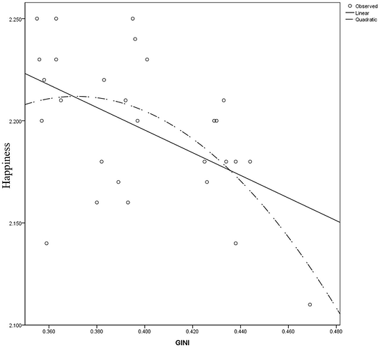
I would never dispute that the US is a global leader in GDP per capita and other measures of wealth. However it lags other countries on quality of life measures, partially because of the inequitable way that wealth is distributed. There are lots of reports illustrating this so will just pick one by an American publication.

I am very happy to live in a country with a lower per capita GDP than the USA if it is a more equitable society. Can’t see how my happiness would increase simply because I was 10% richer!

https://www.usnews.com/news/best-countries/rankings/quality-of-life

6 Likes

Definitely nn.

As long as you survive?

But you’re suggesting your happiness would increase if the wealthiest were 10% poorer (thus more equitable)?

It’s not the rich being 10 percent poorer. It’s about the poor being 10 percent better off.
A strong middle class is better for everyone. Having opportunity to be rich is fine, it’s an incentive. Having poor people doesn’t seem to benefit any of us.

2 Likes

Yes. If that 10% was reallocated from the rich to the poor to produce better health and other outcomes for the less fortunate I would be happier.

3 Likes

Hang on you snuck in a reallocation. In this example MS is higher income than France, but you’re OK with that because France is more equitable. So if you’re truly happy because of a more equitable society than simply making the rich poorer should help (i.e. bringing MS’ average income down to the level of France by simply burning some of the richest’s income every year). The argument in favor of living in MS is less focused on equity and more on just everyone having more, even if the wealthiest disproportionately have more.

I imagine you agree with this given your willingness to live in France but I think the French would take it a step further and say they’re content with materially less wealth / a smaller total pie in order to create that equity. I think the US is far less willing than France to accept a smaller pie for more equity, although we do accept it in meaningful ways (e.g. something like half of people don’t make enough to have the pleasure of paying ANY federal income tax)

1 Like